Welcome to my homepage; please find downloadable pdf versions of
AIBN Lecture 1
AIBN Lecture 2
AIBN Lecture 3
AIBN Lecture 4
AIBN Lecture 5
AIBN Lecture 6
AIBN Lecture 7
Master Thesis
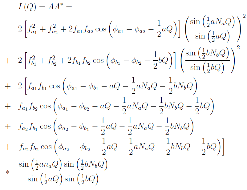
PhDthesis
(contains an analytical treatment of diffraction from crystalline perfect thin films on pp42-56 and on pp 123-130)
Habilitation
On in situ crystal growth and liquid-solid systems